クエン酸滴定でNaOHの濃度が決められるか?

アルミニウム実験 Part (1)    Workbench

<なぜこの問題を?>

蓋の材料がアルミニウムであることを証明するために自宅でNaOH溶液を作りましたが、濃度が未定でした。 中和滴定で濃度を決めるにはHCl標準液を用いるのが常識ですが、入手しやすさを考慮してクエン酸を候補として取り上げます。pH vs 濃度を調べてクエン酸が使いものになるかを検討しようという訳です。

<モデル>

NaOH が初期濃度[OH-]0 で存在しているところに三塩基酸 H3X を加えていきます。もしNaOHが存在していなければ酸の濃度は CX であるとします(仕込み濃度と言ってもいいでしょう)。

<化学種>

溶液の中に存在する化学種は H3X, H2X-, HX2-, X3-, H+, OH-, および Na+ と考えます。ただし Na+ は反応に関与はしません。

[H+], [OH-] については積が Kw に等しいという関係があります。

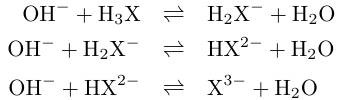
クエン酸に関しては次の平衡反応が成り立ちます。


<質量保存則>

H3X の X の物質量が溶液中でも保存されていることから

が成り立ちます。

<電荷保存則>

H3X を加える前と加えた後で電荷の吊り合いが次のように表現できます。

差を取って

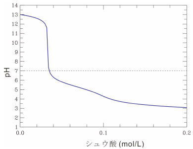
<[H+]の方程式の数値解(クエン酸)>

以上の連立方程式を Citric_acid 2.4 で数値的に解きます。[OH-]0=0.1 mol/L、CX=0.2 mol/L の場合の解が下図です。特に困難は生じませんね。中和点におけるクエン酸濃度の3倍がNaOH濃度になります。

<一塩基酸の場合>

蛇足ながら K=10-3 の酸 HX を[OH-]0=0.1 mol/L に加えていった場合を考えてみます。このK はクエン酸のK1 に近い値です。 電荷保存則は

    [H+]-[X-]-[OH-]+[OH-]0=0

という形を取ります。[OH-]0=0.1 mol/L について得られた解を図に示します。 化学の教科書によく出ている図ですね。
<[H+]の方程式の数値解(モデル一塩基酸)>

12-7-2025, S. Hayashi