広報紙の表紙写真をめぐって

Home    Workbench

<広報紙の表紙>

右図は八王子市広報の表紙です (2026年2月15日号)。夕方、大和田小学校付近から八王子駅の方角(西南西)を撮影したとのことです。これを見てこんなことを考えました。

  1. 富士山(A)は振れ角何度か(何度南に振れているか)?
  2. 富士山の左隣に見える山(B)は何という名前か推定できないか?
  3. オクトーレ(a)とスカイハイツ(b)とA, B がこのように並んで見える撮影場所はどこか推定できないか?
<振れ角の求め方I. 地図と描画ソフトの利用>

地図ソフト(右で用いたのは「いつもNAVI」)を起動して 撮影点と対象点の入った地図を表示させます。図では右上が八王子、左下が富士山です。 画面のスクリーンショットを取り、描画ソフト(CorelDraw)で読み込みます。撮影点と対象点の場所が分かるようにマークをつけておきます(図では〇)。 水平線(振れ角ゼロ)を引くために「グリッドにスナップ」をONにして適当なところに線を引きます。「グリッドにスナップ」をOFFにして準備完了です。

直線の角度を調整して撮影点と対象点を通る直線をみつけます。図によれば富士山(3776m)の振れ角は30.7°です。

しかし地点間隔が広がれば平面モデルが不正確になります。幸い、地図ソフトで地点の経度Θ・緯度αがわかるのでこの情報を活用しない手はありません。

<地図上で振れ角を求める>

<振れ角の求め方II. 経度・緯度から計算によって>

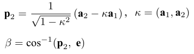
Pを撮影点(位置ベクトルa1)、Qを対象点(位置ベクトルa2)とします。位置ベクトルはΘとαから容易に計算できます。

Pにおける接線は、Pにおける接平 面(撮影者にとっては地面)に乗っていますからPにおける東西のベクトルeと接線が作る角度βが振れ角になります。

撮影点(大和田小学校付近)と対象点(富士山頂上)の経緯度を地図ソフトで読み取ってβを計算すると富士山の振れ角は β=30.63°と出ます。方法IとIIはよく合っています。
<地球的視点での振れ角>

<富士山の隣に見える山>

最初の写真にある対象点Bの素性を調べましょう。 富士山の地図の中に振れ角33.6°の直線が引いてあります。この直線は、八王子と大室山(1587m)を通ります。 そこで広報誌の対象点Bは大室山と仮定して話を進めます(ちなみに振れ角の計算値はβ=33.52°)。

表紙写真のAが富士山, Bが大室山として振れ角の情報を入れれば右図のように目盛が入ります。 対象点aのオクトーレはβ=32.4±0.4°、対象点bのスカイタワーはβ=39.5±0.8°と見積もられます。

<表紙の対象点に角度目盛を入れる>

<撮影場所の推定>

上の±は撮影点から見た対象点の不確かさを表しますが、逆に考えれば対象点から撮影点を見た場合の不確かさを表すとも考えられます。つまり、対象点から見て±に対応する角度範囲に撮影点があると考えられます。

そこで対象点a,bから±に対応する直線を2本ずつ引きます。二つの角度範囲の重なった所が撮影点の領域と考えられます。 今の場合、図の黒くて細長い菱形のどこかで撮影したと推定できます。ただし、この結論は対象点Bが大室山と仮定して導かれたものです。上の目盛が修正されれば領域の位置も形状も変わります。

菱形の真ん中付近の白丸は、1000余の地点のうちで確率最大の地点です。 その上のもう一つの白丸は16号バイパスにかかった歩道橋です。

<撮影場所の範囲>

<撮影場所とおぼしき地点に行ってみた>

2-22-2026の午後、晴れていたので散歩を兼ねて白丸のスポットを訪れてみることにしました。

確率最大の白丸の地点は視界がよくないのであてがはずれました。

もう一つの白丸である歩道橋の上から撮影した写真を右に載せます。 富士山は雲に隠れ、大室山も雲かビルに隠れていると考えれば一応辻褄はあいます。でも広報の撮影地点はもっと高い場所のようです。 近くの建造物の屋上あたりがあやしいですね(笑)。

<大和田小学校前の歩道橋から富士山方面を望む>

2-24-2026, S. Hayashi